Jabarkan (1) (x + 2)(x + 1) (2) (y + 5)(y + 4) (3) (a – 5)(a + 3)
Posted by Kelapa Binatang Buas
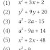
Jabarkan
(1) (x + 2)(x + 1)
(2) (y + 5)(y + 4)
(3) (a – 5)(a + 3)
(4) (a – 7)(a – 2)
(5) (x + 8)(x – 6)
(6) (x + 3)(x – 3)
(7) (y – 1)(y – 10)
(8) (x + 3)^2
(9) (x + 2/3)(x + 1/3)
(10) (x-1/3)(x+1/2)
Jawaban
ADS HERE !!!